Упр.280 ГДЗ Никольский Потапов 8 класс (Алгебра)
Решение #1

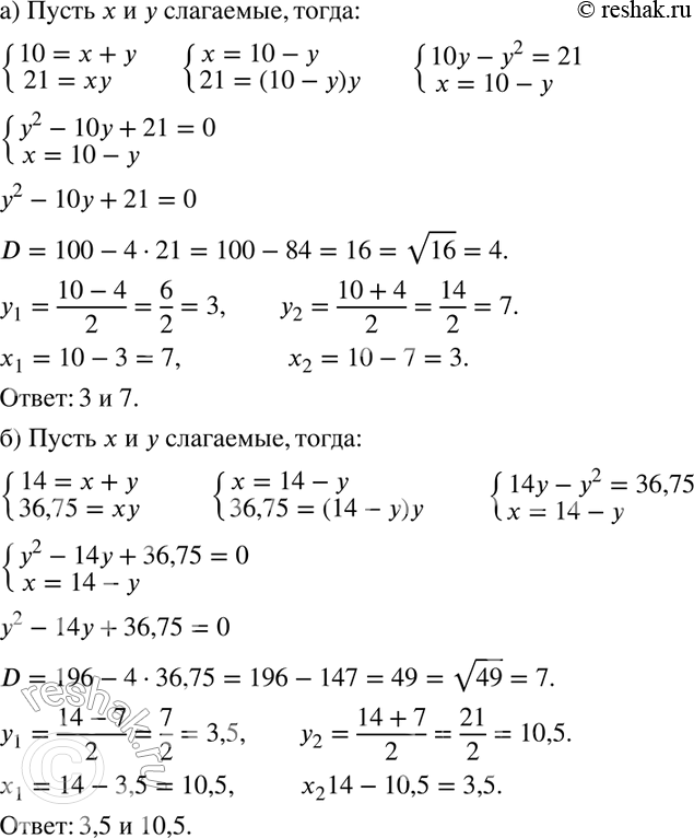
Рассмотрим вариант решения задания из учебника Никольский, Потапов 8 класс, Просвещение:
280. а) Разложите число 10 на два слагаемых так, чтобы произведение этих слагаемых было равно 21.
б) Разложите число 14 на два слагаемых так, чтобы произведение этих слагаемых было равно 36,75.
*размещая тексты в комментариях ниже, вы автоматически соглашаетесь с пользовательским соглашением