Упр.287 ГДЗ Колягин Ткачёва 7 класс (Алгебра)
Решение #1

Рассмотрим вариант решения задания из учебника Колягин, Ткачёва, Фёдорова 7 класс, Просвещение:
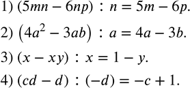
287. Выполнить деление:
1) (5mn-6np) :n;
2) (4a^2-3ab) :a;
3) (x-xy) :x;
4) (cd-d) :(-d).
*размещая тексты в комментариях ниже, вы автоматически соглашаетесь с пользовательским соглашением