Упр.287 ГДЗ Мерзляк 8 класс (Алгебра)
Решение #1
Решение #2
Решение #3

Рассмотрим вариант решения задания из учебника Мерзляк, Полонская, Якир 8 класс, Вентана-Граф:
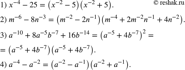
287. Представьте в виде произведения выражение:
1) x^-4 - 25;
2) m^-6 - 8n^-3;
3) a^-10 + 8a^-5 b^-7 + 16b^-14;
4) a^-4 - a^-2.
*размещая тексты в комментариях ниже, вы автоматически соглашаетесь с пользовательским соглашением