Упр.288 ГДЗ Дорофеев Суворова 8 класс (Алгебра)
Решение #1

Рассмотрим вариант решения задания из учебника Дорофеев, Суворова, Бунимович 8 класс, Просвещение:
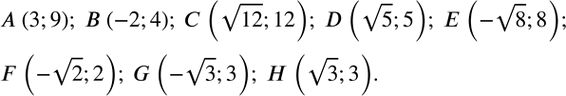
288. Точка D на рисунке 2.26 имеет координаты (v5;5). Запишите координаты точек графика, отмеченных на рисунке.
*размещая тексты в комментариях ниже, вы автоматически соглашаетесь с пользовательским соглашением