Упр.29.31 ГДЗ Мерзляк Поляков 7 класс (Алгебра)
Решение #1

Рассмотрим вариант решения задания из учебника Мерзляк, Поляков 7 класс, Вентана-Граф:
29.31. Составьте уравнение с двумя переменными по такому условию:
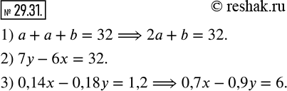
1) боковая сторона равнобедренного треугольника равна а см, основание — b см, периметр — 32 см;
2) один автомобиль проехал со скоростью х км/ч за 6 ч на 32 км меньше, чем другой автомобиль со скоростью у км/ч проехал за 7 ч;
3) в одном магазине было х ц яблок, а во втором — у ц; за день в первом магазине продали 14 % яблок, а во втором — 18 % яблок, причём во втором магазине продали на 1,2 ц яблок меньше, чем в первом.
*размещая тексты в комментариях ниже, вы автоматически соглашаетесь с пользовательским соглашением