Упр.290 ГДЗ Мерзляк Полонский 7 класс (Алгебра)
Решение #1
Решение #2

Рассмотрим вариант решения задания из учебника Мерзляк, Полонская, Якир 7 класс, Вентана-Граф:
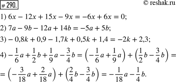
290. Упростите выражение:
1) 6х - 12x + 15x - 9x;
2) 7а-9b- 12а + 14b;
3) -0,8k + 0,9 - 1,7k + 0,5k + 1,4;
4)-1/6*a + 1/2*b+1/9*a-3/4*b.
*размещая тексты в комментариях ниже, вы автоматически соглашаетесь с пользовательским соглашением