Упр.293 ГДЗ Никольский Потапов 9 класс (Алгебра)

Решение #1

Изображение 293. Подберите число х, удовлетворяющее уравнению:а) корень третьей степени из х = 2б) корень четвертой степени из х = 2в) корень шестой степени из х = 1г)...

Решение #2

Изображение 293. Подберите число х, удовлетворяющее уравнению:а) корень третьей степени из х = 2б) корень четвертой степени из х = 2в) корень шестой степени из х = 1г)...

Рассмотрим вариант решения задания из учебника Никольский, Потапов 9 класс, Просвещение:
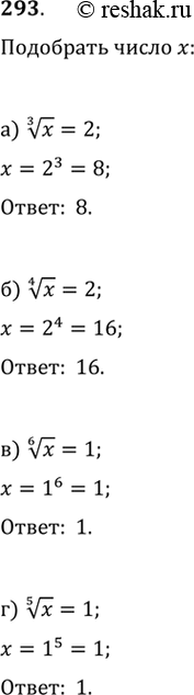
293. Подберите число х, удовлетворяющее уравнению:
а) корень третьей степени из х = 2
б) корень четвертой степени из х = 2
в) корень шестой степени из х = 1
г) корень 5 степени из х = 1
*Цитирирование задания со ссылкой на учебник производится исключительно в учебных целях для лучшего понимания разбора решения задания.
*размещая тексты в комментариях ниже, вы автоматически соглашаетесь с пользовательским соглашением