Упр.295 ГДЗ Дорофеев Суворова 8 класс (Алгебра)
Решение #1

Рассмотрим вариант решения задания из учебника Дорофеев, Суворова, Бунимович 8 класс, Просвещение:
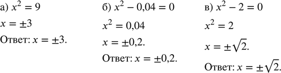
295. Составьте какое-нибудь уравнение, имеющее корни:
а) 3 и-3;
б) 0,2 и-0,2;
в) v2 и-v2.
*размещая тексты в комментариях ниже, вы автоматически соглашаетесь с пользовательским соглашением