Упр.297 ГДЗ Никольский Потапов 8 класс (Алгебра)
Решение #1

Рассмотрим вариант решения задания из учебника Никольский, Потапов 8 класс, Просвещение:
Решите уравнение (297—299)
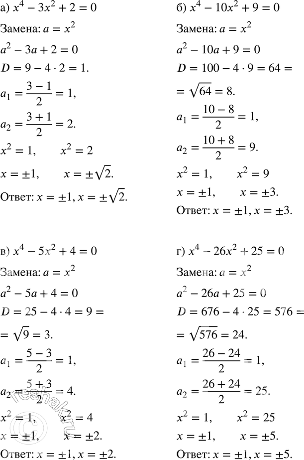
297 а) х4 - 3х2 + 2 = 0;
б) х4 - 10х2 + 9 = 0;
в) х4 - 5x2 + 4 = 0;
г) х4 - 26х2 + 25 = 0;
д) х4 - 20х2 + 64 = 0;
е) х4 + 20х2 + 64 = 0;
ж) х4 — 5х2 + 6 = 0;
з) 4х4 - 41х2 + 100 = 0;
и) 3x4 - 5x2 + 2 = 0;
к) 25х4 - 25х2 + 6 = 0.
*размещая тексты в комментариях ниже, вы автоматически соглашаетесь с пользовательским соглашением