Упр.30 ГДЗ Колягин Ткачёва 11 класс (Алгебра)
Решение #1
Решение #2

Рассмотрим вариант решения задания из учебника Колягин, Ткачёва, Фёдорова 11 класс, Просвещение:
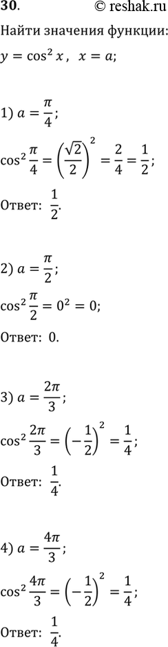
30. Найти значения функции y = cos2x при:
1) x=пи/4;
2) x=пи/2;
3) x=2пи/3;
4) x=4пи/3.
*размещая тексты в комментариях ниже, вы автоматически соглашаетесь с пользовательским соглашением