Упр.305 ГДЗ Никольский Потапов 7 класс (Алгебра)
Решение #1

Рассмотрим вариант решения задания из учебника Никольский, Потапов 7 класс, Просвещение:
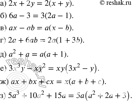
305. Разложите многочлен на множители:
а) 2х + 2у;
б) 6а - 3;
в) ах - ab;
г) 2а + 6ab;
д) а2 + а;
е) 3х3у - ху2;
ж) ах + Ьх + сх;
з) 5а3 + 10а2 + 15а.
*размещая тексты в комментариях ниже, вы автоматически соглашаетесь с пользовательским соглашением