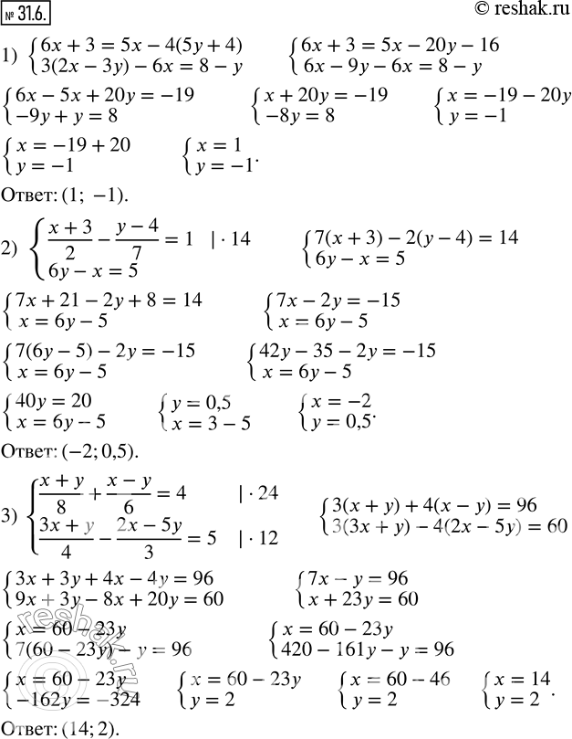
Упр.31.6 ГДЗ Мерзляк Поляков 7 класс (Алгебра)
Решение #1

Рассмотрим вариант решения задания из учебника Мерзляк, Поляков 7 класс, Вентана-Граф:
31.6. Решите систему уравнений:
1) {(6x+3=5x-4(5y+4); 3(2x-3y)-6x=8-y);
2) {((x+3)/2-(y-4)/7=1; 6y-x=5);
3) {((x+y)/8+(x-y)/6=4; (3x+y)/4-(2x-5y)/3=5).
*размещая тексты в комментариях ниже, вы автоматически соглашаетесь с пользовательским соглашением