Упр.315 ГДЗ Никольский Потапов 7 класс (Алгебра)
Решение #1

Рассмотрим вариант решения задания из учебника Никольский, Потапов 7 класс, Просвещение:
315. Преобразуйте выражение в многочлен стандартного вида и определите его степень.
Чтобы избежать ошибок со знаком при вычислении, следует выполнить преобразования, например, так:
(х + 1)(х + 2) - (х + 3)(х + 4) = (х2 + 2х + х + 2) - (х2 + 4х + Зх + 12) = (х2 + Зх + 2) - (х2 + 7х+ 12) = = х2 + 3x + 2 - х2 - 7х - 12 = -4х - 10.
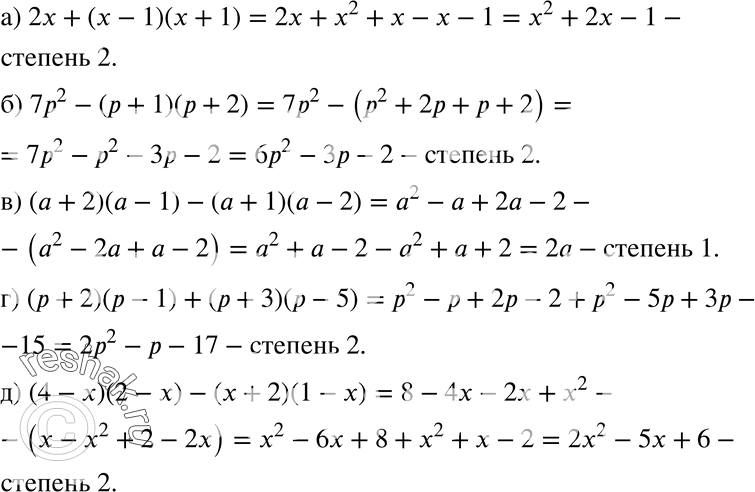
а) 2х + (х - 1)(х + 1);
б) 7р2 — (р + 1)(р + 2);
в) (а + 2)(а - 1) - (а + 1)(а - 2);
г) (р + 2)(р- 1) + (р + 3)(р-5);
д) (4 - х)(2 - х) - (х + 2)(1 - х).
*размещая тексты в комментариях ниже, вы автоматически соглашаетесь с пользовательским соглашением