Упр.317 ГДЗ Колягин Ткачёва 10 класс (Алгебра)
Решение #1
Решение #2

Рассмотрим вариант решения задания из учебника Колягин, Ткачёва, Фёдорова 10 класс, Просвещение:
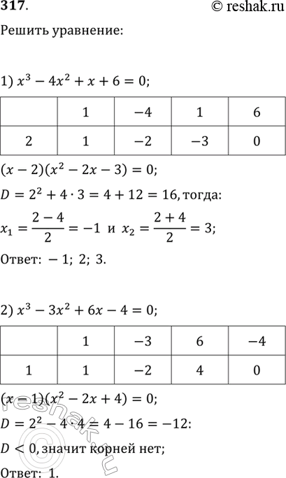
Решить уравнение (317—318).
317. 1) х3 - 4х2 + х + 6 = 0;
2) х3 - 3х2 + бх - 4 = 0.
*размещая тексты в комментариях ниже, вы автоматически соглашаетесь с пользовательским соглашением