Упр.32 ГДЗ Дорофеев Суворова 8 класс (Алгебра)
Решение #1

Рассмотрим вариант решения задания из учебника Дорофеев, Суворова, Бунимович 8 класс, Просвещение:
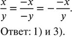
32. Какие из следующих выражений равны дроби x/y?
1) -x/(-y);
2) -(-x)/(-y);
3) -(-x)/y;
4) -x/y.
*размещая тексты в комментариях ниже, вы автоматически соглашаетесь с пользовательским соглашением