Упр.32.6 ГДЗ Мерзляк Поляков 7 класс (Алгебра)
Решение #1

Рассмотрим вариант решения задания из учебника Мерзляк, Поляков 7 класс, Вентана-Граф:
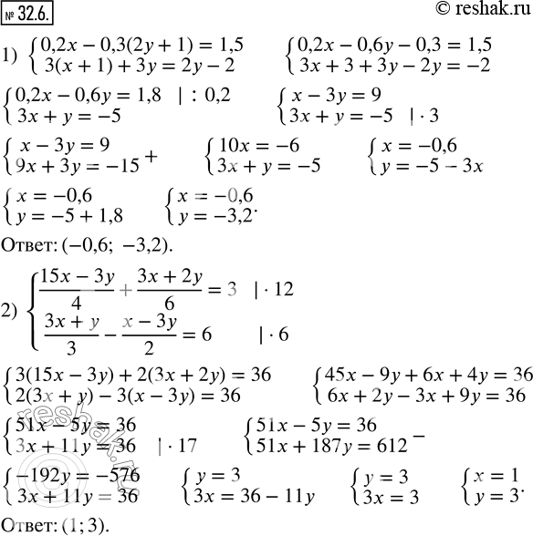
32.6. Решите систему уравнений:
1) {(0,2x-0,3(2y+1)=1,5; 3(x+1)+3y=2y-2);
2) {((15x-3y)/4+(3x+2y)/6=3; (3x+y)/3-(x-3y)/2=6).
*размещая тексты в комментариях ниже, вы автоматически соглашаетесь с пользовательским соглашением