Упр.325 ГДЗ Колягин Ткачёва 7 класс (Алгебра)
Решение #1

Рассмотрим вариант решения задания из учебника Колягин, Ткачёва, Фёдорова 7 класс, Просвещение:
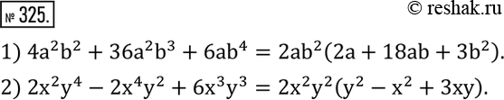
325. Вынести за скобки общий множитель:
1) 4a^2 b^2+36a^2 b^3+6ab^4;
2) 2x^2 y^4-2x^4 y^2+6x^3 y^3.
*размещая тексты в комментариях ниже, вы автоматически соглашаетесь с пользовательским соглашением