Упр.341 ГДЗ Никольский Потапов 8 класс (Алгебра)
Решение #1

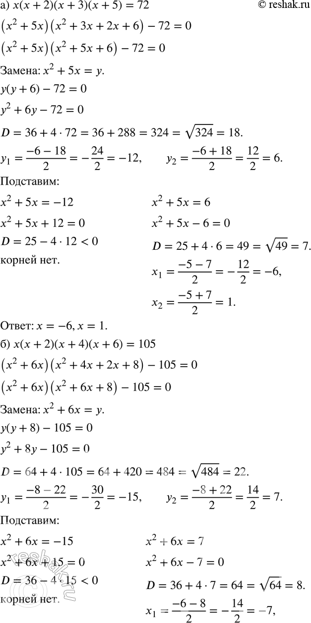
Рассмотрим вариант решения задания из учебника Никольский, Потапов 8 класс, Просвещение:
341. а) х(х + 2)(х + 3)(х + 5) = 72;
б) х(х + 2)(х + 4)(х + 6) = 105;
в) х2 - 9х + 13 + 1/(x2-9x+15) = 0;
г) x2-10x+15 + 1/(x2-10x+17) =0.
*размещая тексты в комментариях ниже, вы автоматически соглашаетесь с пользовательским соглашением