Упр.344 ГДЗ Мерзляк 8 класс (Алгебра)
Решение #1
Решение #2
Решение #3

Рассмотрим вариант решения задания из учебника Мерзляк, Полонская, Якир 8 класс, Вентана-Граф:
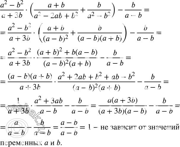
344. Докажите, что при всех допустимых значениях переменных, содержащихся в выражении, его значение не зависит от значений a и b.
(a2-b2)/(a+3b) * ((a+b)/(a2-2ab+b2) + b/(a2-b2)) - b/(a-b).
*размещая тексты в комментариях ниже, вы автоматически соглашаетесь с пользовательским соглашением