Упр.35 ГДЗ Мерзляк 8 класс (Алгебра)
Решение #1
Решение #2
Решение #3

Рассмотрим вариант решения задания из учебника Мерзляк, Полонская, Якир 8 класс, Вентана-Граф:
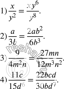
35. Приведите дробь:
1) x/y2 к знаменателю y8;
2) a/3b к знаменателю 6b3;
3) 9/4m2n к знаменателю 12m3n2;
4) 11c/15d6 к знаменателю 30bd7.
*размещая тексты в комментариях ниже, вы автоматически соглашаетесь с пользовательским соглашением