Упр.351 ГДЗ Колягин Ткачёва 7 класс (Алгебра)
Решение #1

Рассмотрим вариант решения задания из учебника Колягин, Ткачёва, Фёдорова 7 класс, Просвещение:
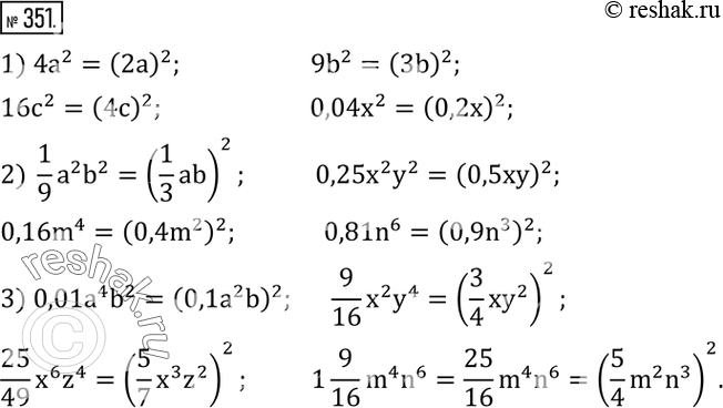
351. Представить в виде квадрата одночлена:
1) 4a^2; 9b^2; 16c^2; 0,04x^2;
2) 1/9 a^2 b^2; 0,25x^2 y^2; 0,16m^4; 0,81n^6;
3) 0,01a^4 b^2; 9/16 x^2 y^4; 25/49 x^6 z^4; 1 9/16 m^4 n^6.
*размещая тексты в комментариях ниже, вы автоматически соглашаетесь с пользовательским соглашением