Упр.36 ГДЗ Мерзляк 8 класс (Алгебра)
Решение #1
Решение #2
Решение #3

Рассмотрим вариант решения задания из учебника Мерзляк, Полонская, Якир 8 класс, Вентана-Граф:
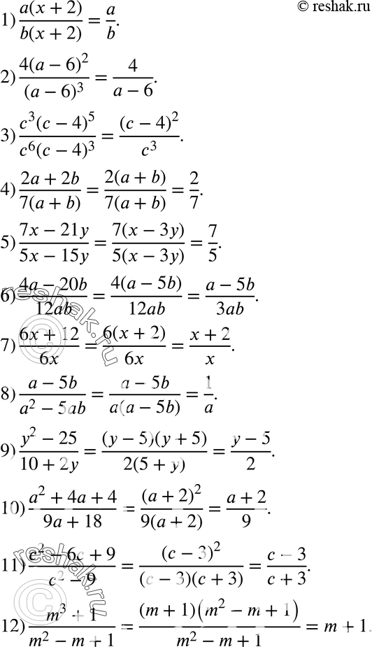
36. Сократите дробь:
1) (a(x+2))/(b(x+2));
*размещая тексты в комментариях ниже, вы автоматически соглашаетесь с пользовательским соглашением