Упр.360 ГДЗ Мерзляк Полонский 7 класс (Алгебра)
Решение #1
Решение #2

Рассмотрим вариант решения задания из учебника Мерзляк, Полонская, Якир 7 класс, Вентана-Граф:
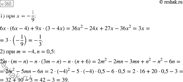
360. Упростите выражение и найдите его значение:
1) 6х(6х - 4) + 9х(3 - 4х), если x =-1/9;
2) 2m(m - n) - n(8m - n) - n(n + 6), если m = -4, n = 0,5.
*размещая тексты в комментариях ниже, вы автоматически соглашаетесь с пользовательским соглашением