Упр.364 ГДЗ Колягин Ткачёва 7 класс (Алгебра)
Решение #1

Рассмотрим вариант решения задания из учебника Колягин, Ткачёва, Фёдорова 7 класс, Просвещение:
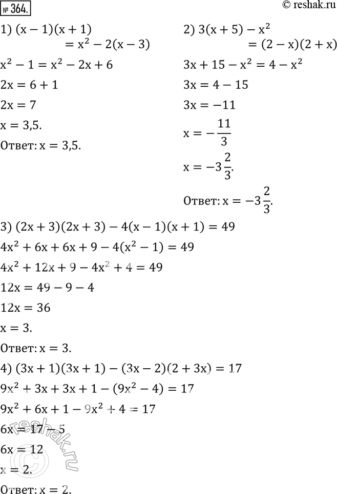
364. Решить уравнение:
1) (x-1)(x+1)=x^2-2(x-3);
2) 3(x+5)-x^2=(2-x)(2+x);
3) (2x+3)(2x+3)-4(x-1)(x+1)=49;
4) (3x+1)(3x+1)-(3x-2)(2+3x)=17.
*размещая тексты в комментариях ниже, вы автоматически соглашаетесь с пользовательским соглашением