Упр.365 ГДЗ Муравин 7 класс (Алгебра)
Решение #1

Рассмотрим вариант решения задания из учебника Муравин, Муравина 7 класс, Дрофа:
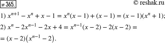
365. Разложите на множители:
1) x^(n+1) - x^n + x - 1;
2) x^n - 2x^(n-1) - 2x + 4.
*размещая тексты в комментариях ниже, вы автоматически соглашаетесь с пользовательским соглашением