Упр.37.20 ГДЗ Мерзляк Поляков 7 класс (Алгебра)
Решение #1

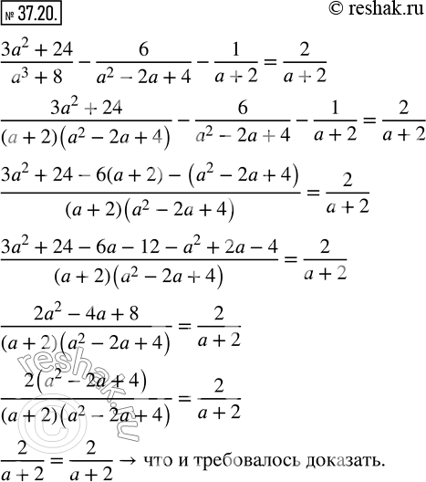
Рассмотрим вариант решения задания из учебника Мерзляк, Поляков 7 класс, Вентана-Граф:
37.20. Докажите тождество: (3a^2+24)/(a^3+8)-6/(a^2-2a+4)-1/(a+2)=2/(a+2).
*размещая тексты в комментариях ниже, вы автоматически соглашаетесь с пользовательским соглашением