Упр.374 ГДЗ Никольский Потапов 9 класс (Алгебра)

Решение #1

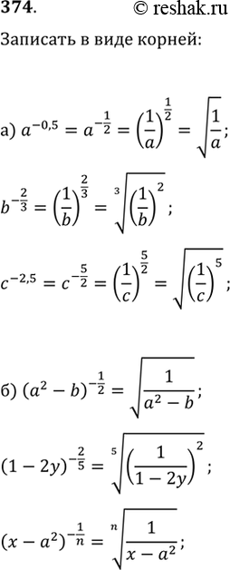
Изображение 374.а) a^(-0,5)b^(-2/3)c^(-2,5)б) (a^2-b)^(-1/2)(1-2y)^(-2/5)(x-a^2...

Решение #2

Изображение 374.а) a^(-0,5)b^(-2/3)c^(-2,5)б) (a^2-b)^(-1/2)(1-2y)^(-2/5)(x-a^2...

Рассмотрим вариант решения задания из учебника Никольский, Потапов 9 класс, Просвещение:
374.
а) a^(-0,5)
b^(-2/3)
c^(-2,5)
б) (a^2-b)^(-1/2)
(1-2y)^(-2/5)
(x-a^2 )^(-1/n)
*Цитирирование задания со ссылкой на учебник производится исключительно в учебных целях для лучшего понимания разбора решения задания.
*размещая тексты в комментариях ниже, вы автоматически соглашаетесь с пользовательским соглашением