Упр.379 ГДЗ Мерзляк 9 класс (Алгебра)
Решение #1
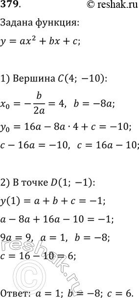
Решение #2

Рассмотрим вариант решения задания из учебника Мерзляк, Полонская, Якир 9 класс, Вентана-Граф:
379. Парабола у = ах^2 + bх + с имеет вершину в точке C(4; -10) и проходит через точку D(1; -1). Найдите значения коэффициентов а, b и с.
*размещая тексты в комментариях ниже, вы автоматически соглашаетесь с пользовательским соглашением