Упр.38.26 ГДЗ Мерзляк Поляков 7 класс (Алгебра)
Решение #1

Рассмотрим вариант решения задания из учебника Мерзляк, Поляков 7 класс, Вентана-Граф:
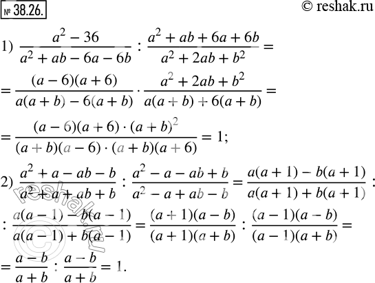
38.26. Упростите выражение:
1) (a^2-36)/(a^2+ab-6a-6b) : (a^2+ab+6a+6b)/(a^2+2ab+b^2 );
2) (a^2+a-ab-b)/(a^2+a+ab+b) : (a^2-a-ab+b)/(a^2-a+ab-b).
*размещая тексты в комментариях ниже, вы автоматически соглашаетесь с пользовательским соглашением