Упр.385 ГДЗ Дорофеев Суворова 8 класс (Алгебра)
Решение #1

Рассмотрим вариант решения задания из учебника Дорофеев, Суворова, Бунимович 8 класс, Просвещение:
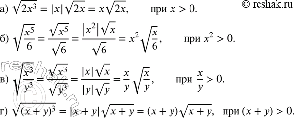
385. Вынесите множитель из-под знака корня:
а) v(2x^3 );
б) v(x^5/6);
в) v(x^3/y^3 );
г) v((x+y)^3 ).
*размещая тексты в комментариях ниже, вы автоматически соглашаетесь с пользовательским соглашением