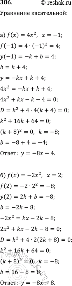
Упр.386 ГДЗ Макарычев Миндюк 9 класс (Углубленный) (Алгебра)
Решение #1

Рассмотрим вариант решения задания из учебника Макарычев, Миндюк, Нешков 9 класс, Просвещение:
386. Запишите уравнение касательной к графику функции y=f(x), проходящей через точку этого графика с абсциссой:
а) x=-1, если f(x)=4x^2; б) x=2, если f(x)=-2x^2.
*размещая тексты в комментариях ниже, вы автоматически соглашаетесь с пользовательским соглашением