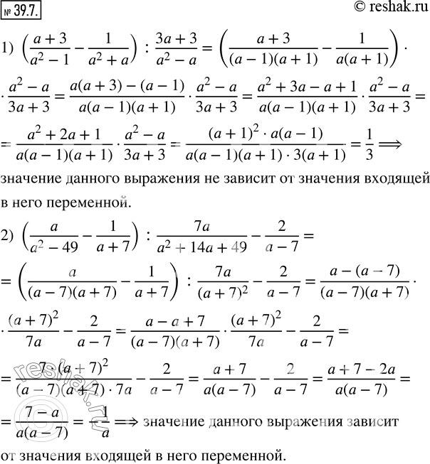
Упр.39.7 ГДЗ Мерзляк Поляков 7 класс (Алгебра)
Решение #1

Рассмотрим вариант решения задания из учебника Мерзляк, Поляков 7 класс, Вентана-Граф:
39.7. Зависит ли значение выражения от значения входящей в него переменной:
1) ((a+3)/(a^2-1)-1/(a^2+a)) : (3a+3)/(a^2-a);
2) (a/(a^2-49)-1/(a+7)) : 7a/(a^2+14a+49)-2/(a-7)?
*размещая тексты в комментариях ниже, вы автоматически соглашаетесь с пользовательским соглашением