Упр.390 ГДЗ Мерзляк 8 класс (Алгебра)
Решение #1
Решение #2
Решение #3

Рассмотрим вариант решения задания из учебника Мерзляк, Полонская, Якир 8 класс, Вентана-Граф:
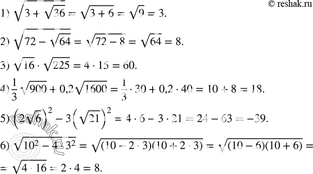
390. Вычислите значение выражения:
1) корень (3 + корень 36);
2) корень (72 - корень 64);
3) корень 16 * корень 225;
4) 1/3 * корень 900 + 0,2 корень 1600;
5) (2 корень 6)2 - 3(корень 21)2;
6) корень (10^2 - 4*3^2).
*размещая тексты в комментариях ниже, вы автоматически соглашаетесь с пользовательским соглашением