Упр.390 ГДЗ Никольский Потапов 9 класс (Алгебра)

Решение #1

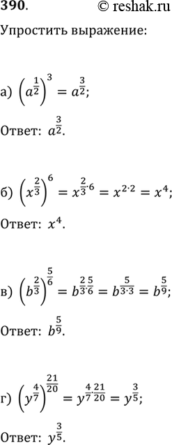
Изображение 390.а) (a^(1/2))^3б) (x^(2/3))^6в) (b^(2/3))^(5/6)    г)...

Решение #2

Изображение 390.а) (a^(1/2))^3б) (x^(2/3))^6в) (b^(2/3))^(5/6)    г)...

Рассмотрим вариант решения задания из учебника Никольский, Потапов 9 класс, Просвещение:
390.
а) (a^(1/2))^3
б) (x^(2/3))^6
в) (b^(2/3))^(5/6)
г) (y^(4/7))^(21/20)
*Цитирирование задания со ссылкой на учебник производится исключительно в учебных целях для лучшего понимания разбора решения задания.
*размещая тексты в комментариях ниже, вы автоматически соглашаетесь с пользовательским соглашением