Упр.394 ГДЗ Муравин 7 класс (Алгебра)
Решение #1

Рассмотрим вариант решения задания из учебника Муравин, Муравина 7 класс, Дрофа:
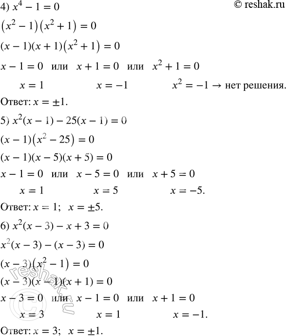
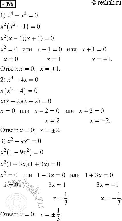
394. Решите уравнение, предварительно представив левую часть в виде произведения трёх множителей, каждый из которых содержит переменную:
1) х^4 - х^2 = 0; 4) х^4 - 1 = 0;
2) х^3 - 4х = 0; 5) х^2 (х - 1) - 25(х - 1) = 0;
3) х^2 - 9х^4 = 0; 6) х^2 (х - 3) - х + 3 = 0.
*размещая тексты в комментариях ниже, вы автоматически соглашаетесь с пользовательским соглашением