Упр.397 ГДЗ Никольский Потапов 7 класс (Алгебра)
Решение #1

Рассмотрим вариант решения задания из учебника Никольский, Потапов 7 класс, Просвещение:
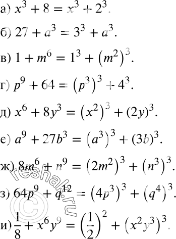
397. Представьте выражение в виде суммы кубов:
а) x3+8;
б) 27+a3;
в) 1+m6;
г) p9+64;
д) x6+8y3;
е) a9+27b3;
ж) 8m6+n9;
з) 64p9+q12;
и) 1/8+x6y9.
*размещая тексты в комментариях ниже, вы автоматически соглашаетесь с пользовательским соглашением