Упр.398 ГДЗ Муравин 7 класс (Алгебра)
Решение #1

Рассмотрим вариант решения задания из учебника Муравин, Муравина 7 класс, Дрофа:
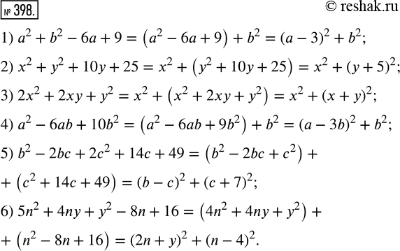
398. Представьте в виде суммы квадратов двух выражений:
1) а^2 + b^2 - 6а + 9; 4) а^2 - 6аb + 10b^2;
2) х^2 + у^2 + 10у + 25; 5) b^2 - 2bс + 2с^2 + 14с + 49;
3) 2х^2 + 2ху + у^2; 6) 5n^2 + 4nу + у^2 - 8n + 16.
*размещая тексты в комментариях ниже, вы автоматически соглашаетесь с пользовательским соглашением