Упр.4.26 ГДЗ Никольский Потапов 11 класс (Алгебра)
Решение #1
Решение #2

Рассмотрим вариант решения задания из учебника Никольский, Потапов 11 класс, Просвещение:
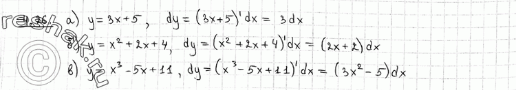
4.26 Найдите дифференциал функции:
а) у = 3х + 5; б) у = х2 + 2х + 4; в) у = х3 - 5х + 11.
*размещая тексты в комментариях ниже, вы автоматически соглашаетесь с пользовательским соглашением