Упр.4.3 ГДЗ Никольский Потапов 11 класс (Алгебра)
Решение #1

Рассмотрим вариант решения задания из учебника Никольский, Потапов 11 класс, Просвещение:
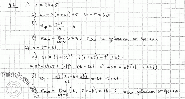
4.3 Пусть точка движется прямолинейно по закону:
1) s = 3t + 5; 2) s = t2 - 6t.
Найдите:
а) приращение пути дельта s на промежутке времени от t до t + дельта t;
б) среднюю скорость на промежутке времени от t до t + дельта f;
в) мгновенную скорость в момент времени f.
Для какого из указанных законов мгновенная скорость не зависит от времени и для какого зависит?
*размещая тексты в комментариях ниже, вы автоматически соглашаетесь с пользовательским соглашением