Упр.4.4 ГДЗ Никольский Потапов 11 класс (Алгебра)
Решение #1

Рассмотрим вариант решения задания из учебника Никольский, Потапов 11 класс, Просвещение:
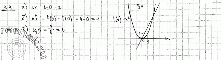
4.4 Дана функция f(x) = х2. Проведите секущую через точки графика этой функции с абсциссами х1 = 0, х2 = 2. Найдите:
а) приращение аргумента дельта х;
б) приращение функции дельта f= f(x2) - f(x1);
в) тангенс угла наклона секущей tgB = дельта f/дельта x.
*размещая тексты в комментариях ниже, вы автоматически соглашаетесь с пользовательским соглашением