Упр.4.47 ГДЗ Никольский Потапов 11 класс (Алгебра)
Решение #1

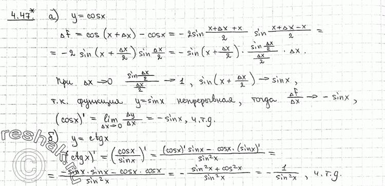
Рассмотрим вариант решения задания из учебника Никольский, Потапов 11 класс, Просвещение:
4.47* Докажите формулы для нахождения производных функций у = cos х и у = ctgx.
*размещая тексты в комментариях ниже, вы автоматически соглашаетесь с пользовательским соглашением