Упр.40.2 ГДЗ Мерзляк Поляков 7 класс (Алгебра)
Решение #1

Рассмотрим вариант решения задания из учебника Мерзляк, Поляков 7 класс, Вентана-Граф:
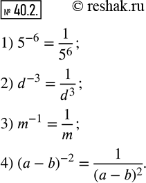
40.2. Представьте в виде выражения, не содержащего степеней с отрицательными показателями:
1) 5^(-6); 2) d^(-3); 3) m^(-1); 4) (a-b)^(-2).
*размещая тексты в комментариях ниже, вы автоматически соглашаетесь с пользовательским соглашением