Упр.401 ГДЗ Мерзляк 8 класс (Алгебра)
Решение #1
Решение #2
Решение #3

Рассмотрим вариант решения задания из учебника Мерзляк, Полонская, Якир 8 класс, Вентана-Граф:
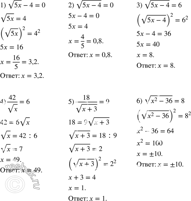
401. Решите уравнение:
1) корень 5x - 4 = 0;
2) корень (5x-4) = 0;
3) корень (5x-4) = 6;
4) 42/ корень x = 6;
5) 18/ корень (x+3) = 9;
6) корень (x2-36) = 8.
*размещая тексты в комментариях ниже, вы автоматически соглашаетесь с пользовательским соглашением