Упр.404 ГДЗ Колягин Ткачёва 8 класс (Алгебра)
Решение #1

Рассмотрим вариант решения задания из учебника Колягин, Ткачёва, Фёдорова 8 класс, Просвещение:
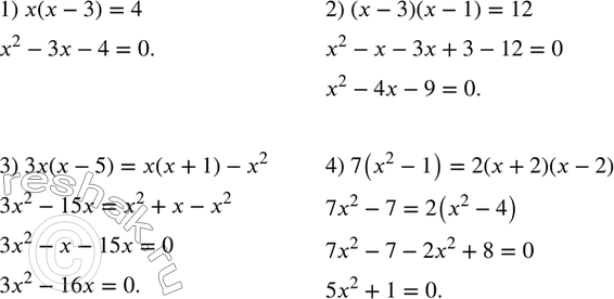
404. Привести данное уравнение к виду квадратного:
1) x(x-3)=4;
2) (x-3)(x-1)=12;
3) 3x(x-5)=x(x+1)-x^2;
4) 7(x^2-1)=2(x+2)(x-2).
*размещая тексты в комментариях ниже, вы автоматически соглашаетесь с пользовательским соглашением