Упр.41.1 ГДЗ Мерзляк Поляков 7 класс (Алгебра)
Решение #1

Рассмотрим вариант решения задания из учебника Мерзляк, Поляков 7 класс, Вентана-Граф:
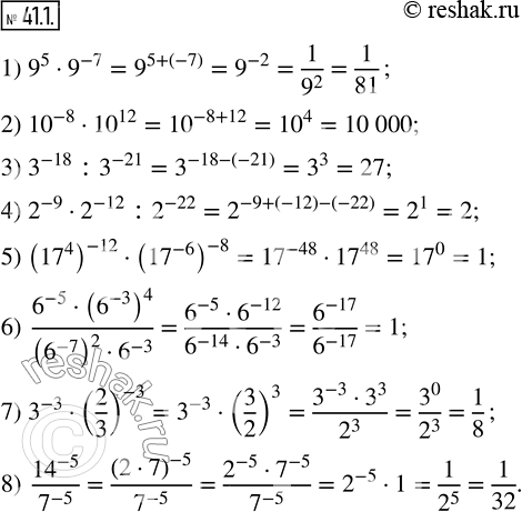
41.1. Найдите значение выражения:
1) 9^5·9^(-7);
2) 10^(-8)·10^12;
3) 3^(-18) :3^(-21);
4) 2^(-9)·2^(-12) :2^(-22);
5) (17^4 )^(-12)·(17^(-6) )^(-8);
6) (6^(-5)·(6^(-3) )^4)/((6^(-7) )^2·6^(-3) );
7) 3^(-3)·(2/3)^(-3);
8) 14^(-5)/7^(-5) .
*размещая тексты в комментариях ниже, вы автоматически соглашаетесь с пользовательским соглашением