Упр.41.10 ГДЗ Мерзляк Поляков 7 класс (Алгебра)
Решение #1

Рассмотрим вариант решения задания из учебника Мерзляк, Поляков 7 класс, Вентана-Граф:
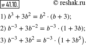
41.10. Вынесите за скобки степень с основанием b и наименьшим из данных показателей:
1) b^3+3b^2; 2) b^(-3)+3b^(-2); 3) b^(-3)+3b^2.
*размещая тексты в комментариях ниже, вы автоматически соглашаетесь с пользовательским соглашением