Упр.41.31 ГДЗ Мерзляк Поляков 7 класс (Алгебра)
Решение #1

Рассмотрим вариант решения задания из учебника Мерзляк, Поляков 7 класс, Вентана-Граф:
41.31. Докажите тождество:
1) (xy^(-1)+1)^2/(xy^(-1)-x^(-1) y)·(x^3 y^(-3)-1)/(x^2 y^(-2)+xy^(-1)+1):(x^3 y^(-3)+1)/(xy^(-1)+x^(-1) y-1)=1;
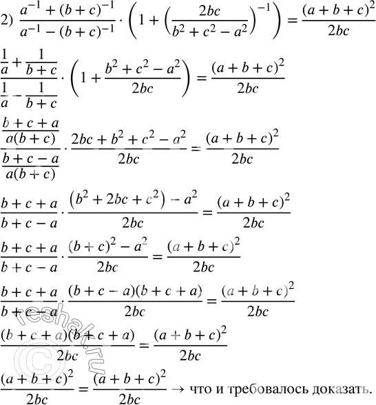
2) (a^(-1)+(b+c)^(-1))/(a^(-1)-(b+c)^(-1) )·(1+(2bc/(b^2+c^2-a^2 ))^(-1) )=(a+b+c)^2/2bc.
*размещая тексты в комментариях ниже, вы автоматически соглашаетесь с пользовательским соглашением