Упр.412 ГДЗ Колягин Ткачёва 10 класс (Алгебра)
Решение #1
Решение #2

Рассмотрим вариант решения задания из учебника Колягин, Ткачёва, Фёдорова 10 класс, Просвещение:
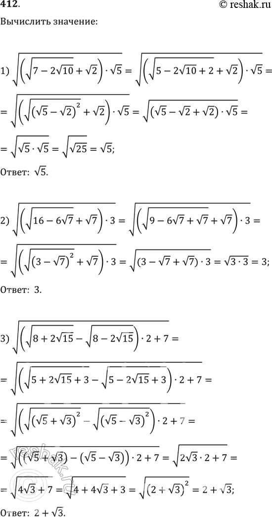
412. Вычислить:
1) корень ( корень 7 - 2 корень 10 + корень 2) * корень 5);
2) корень (корень 16 - 6 корень 7 + корень 7) * 3);
3) корень (8 + 2 корень 15 - корень 8 - 2 корень 15) * 2 + 7).
*размещая тексты в комментариях ниже, вы автоматически соглашаетесь с пользовательским соглашением