Упр.413 ГДЗ Колягин Ткачёва 9 класс (Алгебра)
Решение #1

Рассмотрим вариант решения задания из учебника Колягин, Ткачёва, Фёдорова 9 класс, Просвещение:
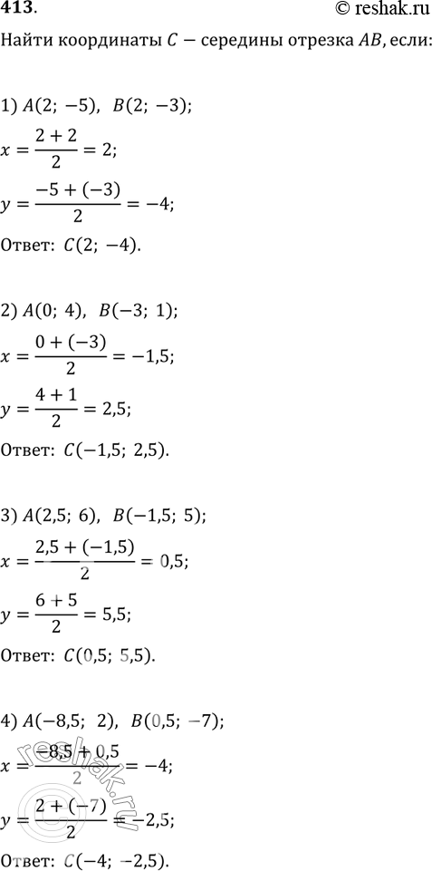
413. Найти координаты точки С — середины отрезка АВ, если:
1) A(2; -5), B(2; -3); 2) A(0; 4), B(-3; 1);
3) A(2,5; 6), B(-1,5; 5); 4) A(-8,5; 2), B(0,5; -7).
*размещая тексты в комментариях ниже, вы автоматически соглашаетесь с пользовательским соглашением