Упр.416 ГДЗ Мерзляк Полонский 7 класс (Алгебра)
Решение #1
Решение #2

Рассмотрим вариант решения задания из учебника Мерзляк, Полонская, Якир 7 класс, Вентана-Граф:
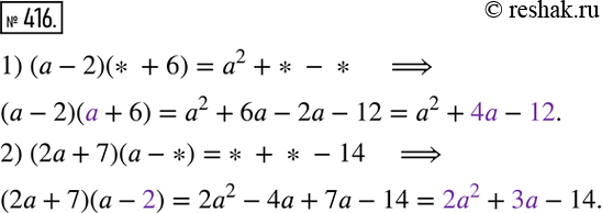
416. Замените звёздочки такими одночленами, чтобы образовалось тождество:
1) (a-2)(* + 6) = а2 +*-*;
2) (2а + 7)(а-*) = * + *-14.
*размещая тексты в комментариях ниже, вы автоматически соглашаетесь с пользовательским соглашением